帮助主页
前言
手册结构
一般原则
手册使用范围
C扫描原理
一般性原理
C扫描设备工作原理
底波成像与中间波成像
脉冲反射法和对穿法检测波形示意图
钎焊检测原理
钎焊超声检测成像原理
钎着率的定义
钎焊C扫描原理
缺陷C扫描图像
复合材料C扫描检测原理
钎着率、孔隙率计算原理
波幅成像原理
厚度成像原理
dB差成像原理
系统组成
组成概述
超声主机
单通道超声主机
四通道超声主机
C扫描软件
采集软件的功能
分析软件的功能
运动控制软件的功能
机械系统
模组
水槽
检测平台
探头工装
运动控制
超声探头
检测前的操作
设备开关机、水距调节及MES连接
开关机
开关
水距调节
水距计算
MES连接
软件操作
软件安装和更新
基础操作
采集软件数据分析
采集软件菜单
分析软件菜单
闸门的调节
校正像素
采集软件
单通道
双通道
四通道
八通道
分析软件
3D分析
簇类分析
切片分析-超声CT
焊接宽度百分比
边距计算
钎着率
重新成像的方法和方式
维护保养
机械维护
电控维护
附1:概念和术语
检测术语
超声术语
垂直线性
灵敏度余量
水平线性
重复发射频率
采样频率
带宽
探头频率
综述
A扫描、B扫描、C扫描、D扫描
点聚焦、线聚焦
声速
水距
计算公式
水距计算公式
增益差值计算公式
附2:C扫描检测标准
钎焊检测标准
复合材料检测标准
附3:C扫描检测案例
附4:问答
冷板检测问答
冷板检测问答
C扫描软件的问答
步距和分辨率的更改调节
检测范围的缺省
附5:试题
附6:检测报告
钎焊检测报告
冷板钎焊C扫描检测报告
银触点钎焊C扫描报告
复合材料C扫描检测报告
复合材料C扫描检测报告
C扫描图例
碳纤维复合材料C扫描图例
CCC
碳纤维C扫描图例
蜂窝C扫描图例
蜂窝C扫描图像
冷板C扫描图例
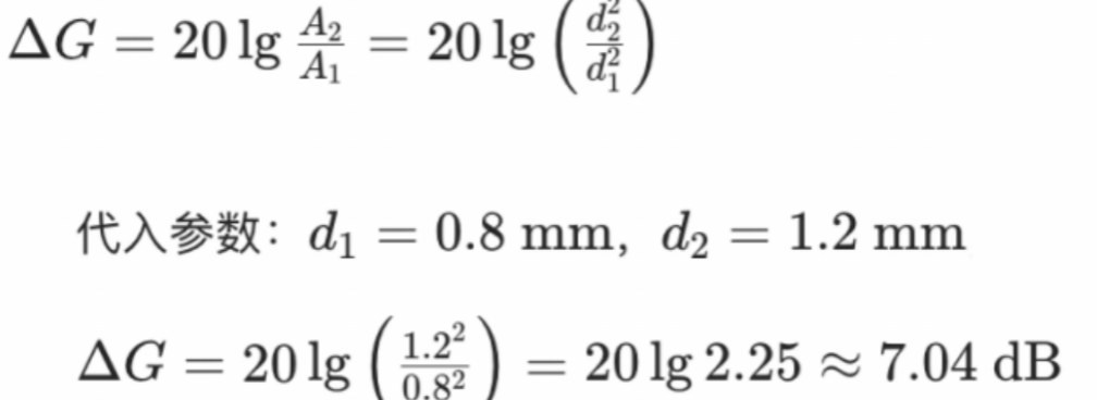
增益差值计算公式
增益差值计算公式
0.8mm平底孔80%波高的增益实测值:65.9dB
1.2mm平底孔80%波高的增益实测值:
65.9dB-7.04=58.86